Igor Ya. Erukhimovich, D.Sc.
(To see more details concerning the announced results,
would you please click the marked key words linking the items of the list to
the corresponding files and/or references)
![]()
The first discovering that the thermodynamically
equilibrium (in respect of making and breaking chemical bonds) and, therefore,
polydisperse solution of linear and cyclic polymer chains in a good solvent
belongs to the n- vector model with n=1 and
generalisation of this model for any positive value of n (1978,1979)
![]()
The most general STATIC
RPA
treatment
of the density fluctuations correlation and screened interaction in
flexible many-component polymer solutions and melts and its applications to
SAXS, SANS and light scattering: 1976,1977,1979,1994,1998.
![]()
![]()
A statistical theory of y -condensation - DNA compactization in
polymer solutions (with A.Grosberg and E.Shakhnovich):
1981a, 1981b, 1982.
![]()
A statistical theory of sol-gel transition (SGT) in weak
(thermoreversible) GELS with due regard
for the cyclization effects - a perturbation theory to describe
the molecular-structural distribution in the chemically equilibrium systems of f-functional
monomers Af (1978, 1979a, 1982) and of telechelics 1998, 1999 in powers of a cyclisation parameter;
introducing and development of the concept of the spontaneous identity
(of monomers and their functional groups) breaking under SGT (1994, 1995, 1999,
2001), classification of the
topologically plausible phase diagrams of the systems undergoing the SGT
1994, 2000, 2001a, 2001b and calculation of the scattering singularities
near the SGT 1979b, 1995, 2001c
![]()
A general consideration of the stability of molten block copolymers as
to microphase separation (1980,1982a), - somewhat later
than but independent of that of L.Leibler (1980)
,- and the first study of the corresponding architecture effects (1982b)
![]()
![]()
A statistical theory of the weakly charged POLYELECTROLYTE SOLUTIONS – the
first theoretical prediction of microphase separation in such solutions (1985, 1986,1988), calculation (including
one-loop correction) of their equation of state (1985, 1988), the first consideration (including
the salt effects) of complex formation (1985, 1990) with V.Borue (see
also phase diagrams of weakly charged POLYELECTROLYTE systems (1991, 1994)


![]()
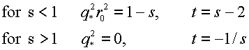
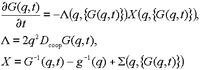
Development of the DYNAMIC RPA for polymer melts and molten copolymers (partially with A.Semenov)
- a general approach 1986a and its applications (in
particular, the first prediction of the breathing mode in diblock copolymer
melts 1986a, the frequency dispersion effects under cooperative diffusion in
polydisperse homopolymer blends 1986b, spinodal decomposition in
disperse homopolymer blends 1987 and the vacancies effects 1999.
![]()
![]()
Elaboration of the user-oriented SOFTWARE to predict phase diagrams of molten
copolymers of complicated architectures (polyblock, comb-like, heteroarmed
stars etc.) and the most extended study (via the weak segregation approach) of
the architecture influence on these phase diagrams (with A.Dobrynin). 1990a, 1990b, 1990c, 1991a, 1991b, 1993 (see also 1996, 1997a, 1997b)
![]()
A generalisation of the variational principle based on the second
Legendre transformation and its applications to describe (with A.Dobrynin) the fluctuational behaviour
of molten block copolymers 1991a, 1991b, weakly charged
polyelectrolytes 1991, random 1991,1995 and (with H.Angerman and G. ten Brinke)
correlated random copolymers (1997) as well as (with E.Prostomolotova) the stronglly non-linear
stage of spinodal decomposition in polymer blends 1997, 2000:

![]()
Back to Homepage