Equilibrium Molecular Mass Distribution of Dilute Polymer Solution in Good Solvent.

I.Ya.Erukhimovich,

The Short Communication in russian untranslated polymer journal where I first reported that the thermodynamically equilibrium (in respect of making and breaking chemical bonds) and, therefore, polydisperse solution of linear and cyclic polymer chains in a good solvent belongs to the n=1- vector model and generalized this model for any positive value of n 1978

It is widely believed due to results of ref.1 that the equilibrium molecular mass distribution (MMD) in a dilute solution of a polymer in a good solvent is broader than the exponential Flory distribution. Unfortunately, the calculation in ref.1, even though quite correct, is carried out within the framework of the Flory theory of chains' swelling shown in ref.2 to give a wrong sign for the contribution of the volume interaction of the links into the chain free energy. Thus, the calculation is erroneous as well. An exact calculation done in ref.3 showed that for solutions having too large value of Pn the increase of Pn results in a narrowing rather than broadening of the equilibrium MMD as compared with the Flory one).

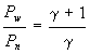
In the note we present the results obtained using the modern methods of the phase transitions theory for solutions of the strongly swollen chaines. If the value of Pn is large enough then the equilibrium MMD takes the form

, (1)

where Nl is the number of l-mers,

and g is a constant calculated in the following cases:

a) if MMD of both the linear chains and cycles is determined by the conditions of their mutual chemical equilibrium then g =1.22 [4,5];

b) if MMD of the linear chains is the equilibrium one whereas the formation of the cycles is completely suppressed, then g =1.18 [6];

c) if MMD of both the linear chains and cycles with respect to their sizes are equilibrium ones but the total number of cycles is maintained somehow at the level n times as large as their equilibrium number, then .

Substituting the values of g into eq.1 we get

(3)

In all these cases, the most probable of which is the first one, the equilibrium MMD of the dilute polymer solution in a good solvent is narrowing as compared to the Flory one.

 

Research Institute for Biological Tests of Chemical Compounds, Kupavna, Moscow region 142450 USSR

Received by 21.10.1977

 

REFERENCES

1. Berlin Al.,Al., Saadyan A.A., Enikolopyan N.S. Vysokomol.Soedin., 11A, 1893 (1969).

2. des Cloizeaux J. J.Physique, 31,715 (1970).

3. Erukhimovich I.Ya, Vysokomol.Soedin., 19A, 10, 2388 (1977).

4. Patashinskii A.Z., Pokrovskii V.L. Fluctuational Theory of Phase Transitions, Moscow, "Nauka", 1975.

5. Stenley H.E. Introduction to Phase Transitions and Critical Phenomena, Oxford University Press, London, 1972.

6. de Gennes P.G. Phys.Letters. 38A, 332, 1972.

 Back to Top

 Back to Scientific Results