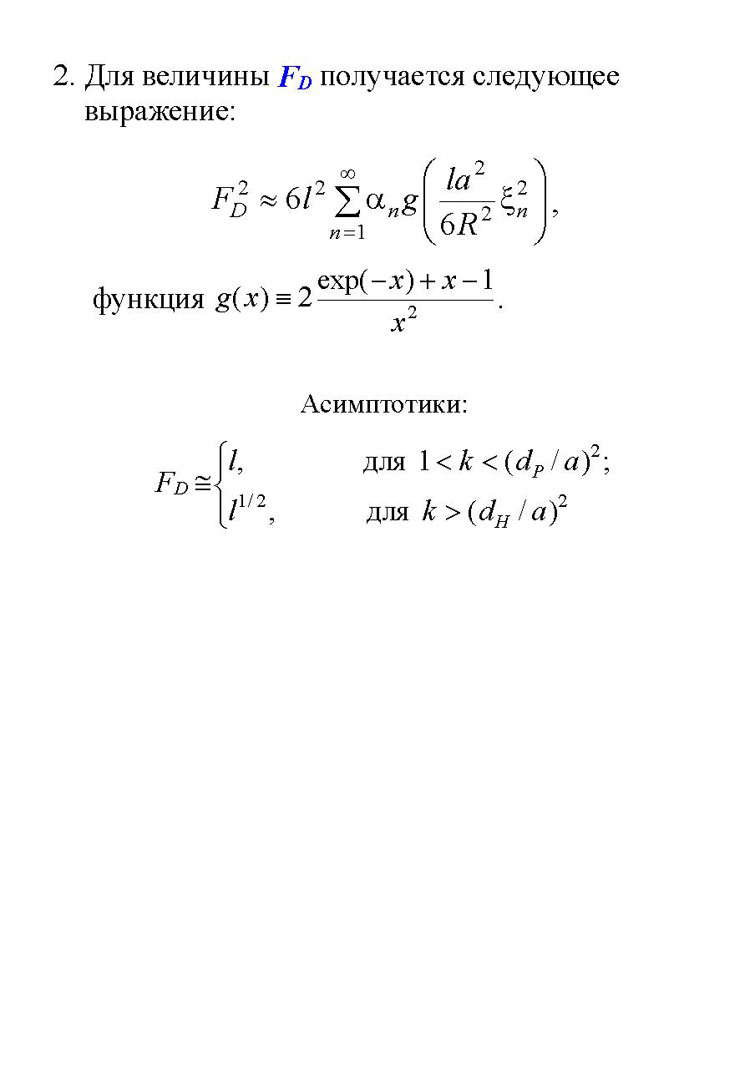
Первый слайдПредыдущийСеминарСледующийПоследний слайд